產品列表
聯系我們
銷售熱線:0632-5113088
外貿電話:0632-5113066
公司傳真:0632-5113155
地址:山東省棗莊市市中區水處理劑產業園(十里泉東路1號)
E-mail:th@thwater.com
外貿電話:0632-5113066
公司傳真:0632-5113155
地址:山東省棗莊市市中區水處理劑產業園(十里泉東路1號)
E-mail:th@thwater.com
2-膦酸丁烷-1,2,4-三羧酸 PBTCA2-Phosphonobutane -1,2,4-Tricarboxylic Acid (PBTCA)
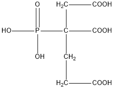
別名:1,2,4-三羧酸-2-膦酸基丁烷;PBTC;2-膦酰基-1,2,4-丁烷三羧酸; CAS No. 37971-36-1 分子式 C7H11O9P 相對分子質量:270.13 結構式
一、性能與用途PBTCA含磷量低,由于它具有膦酸和羧酸的結構特性,使其具有良好的阻垢和緩蝕性能,優于常用的有機膦酸,特別在高溫下阻垢性能遠優于常用的有機膦酸,能提高鋅的溶解度,耐氯的氧化性能好,復配協同性好。PBTCA在高效阻垢緩蝕劑復配中應用范圍廣,性能優越,也是鋅鹽的優良穩定劑。廣泛應用于循環冷卻水系統和油田注水系統的緩蝕阻垢,特別適合與鋅鹽、共聚物復配使用,可用于高溫、高硬、高堿及需要高濃縮倍數下運行的場合,PBTCA在洗滌行業中可作螯合劑及金屬清洗劑。 二、技術指標 符合HG/T 3662-2010
三、使用方法PBTCA一般與鋅鹽、共聚物、有機磷、唑類等其它水處理劑復配使用。如單獨使用投加劑量為5~15mg/L。 四、包裝與貯存PBTCA用塑料桶包裝,每桶25Kg或250Kg。貯存于室內陰涼處。貯存期十二個月。 五、安全防護PBTCA為酸性,操作時注意勞動保護,應避免與皮膚、眼睛等接觸,接觸后用大量清水沖洗。 |
|||||||||||||||||||
|
|||||||||||||||||||
| 關鍵字: 2-膦酸丁烷-1,2,4-三羧酸,PBTCA,阻垢緩蝕劑 |
